Thêm và tùy chỉnh biểu đồ
Trong bài viết này, bạn sẽ học cách:
Thêm biểu đồ
Chỉnh sửa dữ liệu biểu đồ
Tùy chỉnh biểu đồ
Thêm biểu đồ
Nhấp vào Thành phần trên thanh bên trái của cửa sổ làm việc > Hỗn hợp > Biểu đồ.
Hộp thoại Biểu đồ xuất hiện cho phép bạn chọn một trong 9 loại biểu đồ như biểu đồ thanh, biểu đồ cột hoặc biểu đồ tròn.

Nhấn Thêm để chèn biểu đồ.
Chỉnh sửa dữ liệu biểu đồ
Bây giờ, bạn có thể chỉnh sửa dữ liệu trong bảng Chỉnh sửa dữ liệu biểu đồ vừa xuất hiện.

Tại đây, bạn có thể:
Nhấp đúp vào một ô để thay đổi dữ liệu
Nhấp vào mũi tên thả xuống bên cạnh nhãn để thao tác toàn bộ cột/hàng cùng một lúc
Nhấp vào các nhãn dư để thêm cột/hàng mới
Sau đó, tất cả các thay đổi sẽ được phản ánh trên biểu đồ.
Lưu ý: Khi muốn mở lại bảng này để chỉnh sửa dữ liệu, chỉ cần nhấp vào biểu tượng Chỉnh sửa dữ liệu biểu đồ ở phía trên Canvas.
Tùy chỉnh biểu đồ
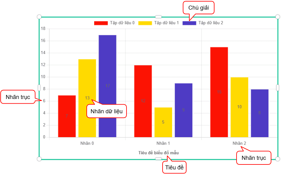
Biểu đồ trên Canvas bao gồm các thành phần sau:

Để tùy chỉnh các thành phần của biểu đồ, hãy chọn biểu đồ và đi đến đến phần Biểu đồ trong bảng Thuộc tính bên phải.

Phân loại: Thay đổi loại biểu đồ.
Tiêu đề: Hiển thị hoặc ẩn tiêu đề biểu đồ, thay đổi tên, vị trí hoặc căn chỉnh tiêu đề.
Chú giải: Hiển thị hoặc ẩn chú giải biểu đồ, thay đổi vị trí hoặc căn chỉnh.
Nhãn trục: Hiển thị hoặc ẩn nhãn trục trên biểu đồ.
Nhãn dữ liệu: Hiển thị hoặc ẩn nhãn dữ liệu trên biểu đồ.
Hiệu ứng chuyển động: Kích hoạt hiệu ứng chuyển động của biểu đồ khi bắt đầu bài giảng. Nếu không cần hiệu ứng hãy tắt nó đi.


